製品のご案内
卓上型NMR Spinsolve
新製品リリース卓上型NMR Spinsolve80 Multi Xnのご紹介
新型Spinsolve Multi Xnは、性能を損なうことなく必要な数のX核種(15核以上でも可)を設定・測定可能にすることで、自動化マルチ核NMRを再定義します。
選択された全核種は、利用可能なプロトコルライブラリ全体で工場出荷時に事前校正済みであり、セットアップ時間ゼロでシームレスかつ高品質なデータ取得を保証します。
Spinsolve Multi Xnは広帯域で異なる核種を自動切替するため、複雑な多核実験を無人実行可能。
Spinsolveサンプルチェンジャーと強化されたキューイング機能と組み合わせることで、多様なサンプルと核種を対象に、前例のない柔軟性と効率性を備えた高スループットの完全自動ワークフローを実現します。
核種無制限、最高感度、妥協なし
すべてのSpinsolve Multi Xnシステムはデュアルチャネルアーキテクチャを採用しており、核種を追加しても感度、ライン形状、全体的な性能に影響を与えません。この先進的な設計は、多数の核種にわたって最適な検出条件を維持するだけでなく、強力な脱結合機能も実現します。
ユーザーはX核からのプロトン脱結合、プロトンからのX核脱結合を容易に実行でき、さらにプロトンとフッ素の両方からの同時脱結合も適用可能です。単純な実験から複雑な多核プロトコルまで、Spinsolve Multi Xは卓越した柔軟性で高品質な結果を提供します。

ダウンロードリソース
必要な核種を選択
Spinsolve Multi Xnを実験要件に完全に適合するよう構成してください。
下記から任意の数のX核を選択するか、それ以上の核を追加することも可能です。ご要望に応じて、リストにない核のキャリブレーションも承ります。
高度なデカップリング機能
Spinsolve Multi Xnシステムは、多核NMR実験において明確な優位性をもたらす強力なデカップリング機能を提供します。
先進的なデュアルチャネルアーキテクチャにより、ユーザーの要件や実験内容に応じて、X個の核すべてをプロトンからデカップリングするだけでなく、プロトンをX個の核からデカップリングすることも可能です。この柔軟性により、複雑な結合パターンを簡素化し、より解釈しやすいスペクトルを得ることができます。 さらに、本システムはプロトンとフッ素の両方からの同時デカップリングを可能にし、卓上装置ではほとんど実現できない高度な多核実験の道を開きます。
すべてのデカップリングオプションは事前校正済みプロトコルライブラリで完全にサポートされており、手動調整の必要なく信頼性の高い性能を保証します。
同時に、ユーザーが完全な制御権を保持できる仕組みとなっています。
1H脱結合あり/なしの5-ブロモ-1,2,3-トリフルオロベンゼンの19Fスペクトル。両スペクトルはSpinsolve 60 MHzシステムで単一走査により取得。この機能によりスペクトルの簡素化とS/N比の向上が可能となる。
13Cスペクトル:5-ブロモ-1,2,3-トリフルオロベンゼンの非デカップリング、1Hデカップリング、および1H・19F複合デカップリング状態。
応用例 - マルチ Xnの力
Spinsolve Multi Xnは、幅広い核種にわたる柔軟で高感度の検出を可能にし、卓上型NMRに新たな可能性を開きます。以下の例は、単一システムで異なる核種を組み合わせることで、分子構造、反応性、ダイナミクスに対する深い知見が得られることを示しています。これらすべてが、コンパクトで自動化されたプラットフォーム上で容易に実現されます。
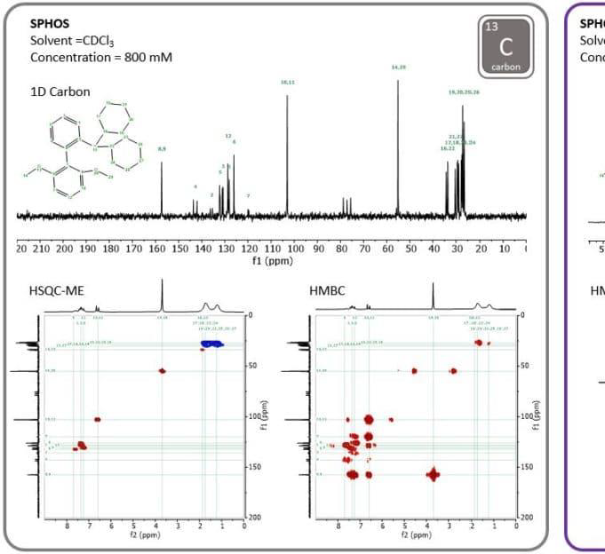
例1:SPhosリガンドの包括的な¹³Cおよび³¹P NMR特性評価
この例は、パラジウム触媒によるクロスカップリング反応の鍵となるSPhosリガンドを完全に特性評価するために、¹³Cと³¹P NMRを組み合わせることで得られる力を示しています。 ¹³C用には1D、HSQC-ME、HMBCを、³¹P用には1DとHMBCを含む一連の実験を用いることで、分子の炭素骨格とリン環境の両方を確実に同定することが可能である。
¹³C HSQC-MEスペクトルはプロトンと炭素間の直接的な1結合相関を提供し、HMBCはリガンド骨格全体の連結性を裏付ける長距離結合を明らかにする。並行して、³¹P HMBCスペクトルはリン原子と近傍プロトンの相関を可能にし、リガンドの立体構造と置換基効果に関する重要な知見を提供する。
これらの実験の組み合わせにより、Spinsolve Multi Xnが卓上システムで高速かつ高品質な多核分析を実現する様子が示される。これにより、配位子開発、触媒スクリーニング、日常的な検証のための高度な構造解析ツールが提供される。
例2:エポキシコナゾールにおける窒素同位体割当のための多核HMBC
この例では、1,2,4-トリアゾール環を含む殺菌剤エポキシコナゾールの炭素原子と窒素原子を完全に割り当てるため、¹³C–¹H および ¹⁵N–¹H HMBC スペクトルを取得した。 ¹³C–¹H HMBCは炭素の包括的な同定を可能にする一方、¹⁵N–¹H HMBCは環内の異なる窒素環境を特定するために不可欠である。 ¹⁵N の天然存在比は低いものの、Spinsolve Multi Xnは少量の試料から優れた信号対雑音比を実現し、相補的な核を用いた詳細な構造解析能力を実証しています。
例 3: CBS 反応におけるホウ素種のモニタリング
この最後の例では、¹³Cおよび¹¹Bの1D NMRスペクトルを用いて、Corey–Bakshi–Shibata(CBS)還元反応をモニタリングする手法を強調する。 異なる段階で¹¹Bスペクトルを取得することで、触媒サイクル全体におけるホウ素含有種の変化を観察できます。¹³Cスペクトルは、主要な中間体および生成物の形成を確認することでこれを補完します。この多核アプローチは、ホウ素系触媒の挙動を直接かつリアルタイムで把握する手段を提供し、反応モニタリングや機構解明研究における強力なツールとなります。
重ね合わせスペクトルは、a) 出発物質アセトフェノンと b) 反応後のホウ素中間体の¹³Cスペクトルの芳香族領域拡大図を示す。スペクトル間に明らかな差異が観察される。アセトフェノンのカルボニルピーク7は中間体スペクトルに存在しない。さらに炭素6のシグナルは化学シフト値が127 ppmと低位へシフトしている
- a) 広帯域信号を示すCBS-Me前駆体触媒(オレンジ)
- b) 1M BH₃*THF溶液のスペクトル(ボラン信号:青)
- c) 遊離BH₃*THF(青)、活性化CBS触媒の–N-BH₃シグナル(黄)、および-15 ppm付近に対応するシグナルと20-40 ppm付近の広いシグナル帯域(赤)を含む混合スペクトル。この赤色帯域には単量体/二量体B-Meシグナルの異なる成分が含まれる
X = 13 炭素
13Cは最も一般的なX核であり、有機分子の構造確認や解明に頻繁に用いられる。Spinsolve Carbonには高度な1Dおよび2Dシーケンスの大規模ライブラリが搭載されており、いずれも容易に実行できるよう実装されている。HSQC-MEやHMBCといった現代的な2Dシーケンスは、ヘテロ核検出法の情報量と感度向上を最大限に活用する一方で、Spinsolve Carbon装置は(13)C検出ヘテロ核法に加え、(13)C検出実験と同時に行う(1)H-、(19)F-などの三重核実験も取得可能である。 1 H検出ヘテロ核法に加え、Spinsolve Carbon装置では三重核実験(例:(13)C検出実験と同時1H・19F脱結合)も取得可能である。左図はキニンの多重度補正済みHSQCスペクトルを示し、全ての共鳴が明確に同定されている。 右のグラフは、5-ブロモ-1,2,3-トリフルオロベンゼンの13Cスペクトルを示しており、デカップリングなし、1Hデカップリングあり、および1H-と19Fの複合デカップリングありの場合を示しています。


キニンの13C HSQCスペクトル。
シングルチャンネルシステムに加えて利用可能なプロトコル:
- 1D炭素スペクトル(1Hおよび/または19Fデカップリング付き)
- 1D 1H スペクトル(13C デカップリング付き)
- DEPT
- APT
- HSQC
- HMBC
- HETCOR
デカップリングなし、1H-デカップリングあり、および1H-、19F-デカップリングを組み合わせた場合の5-ブロモ-1,2,3-トリフルオロベンゼンの13Cスペクトル。
X = 31リン
リンは多くの有機化合物、例えば生体膜やDNAに広く存在します。31P核は天然同位体存在比が100%で化学シフト範囲が広いため、生体NMRで最も頻繁に使用される核の一つです。また有機合成においても、均一系触媒用リン配位子の特性評価などに用いられます。

リンは生物膜やDNAなど多くの有機化合物に普遍的に存在します。31P核は天然同位体存在比が100%で化学シフト範囲が広いため、生物学的NMRで最も頻繁に使用される核の一つです。また有機合成においても、均一系触媒用リン配位子の特性評価などに活用されます。
図2はホスフィン配位子合成の各段階における31Pスペクトルを示す。SpinsolveはJ.ヤング管と互換性があり、この種の空気感応性化合物の分析に頻繁に使用されるため、反応追跡に容易に適用できる。
図1はヌクレオシドホスホラミドイトのスペクトルを示しており、フルスケールでは生成物ピークのみが確認できるが、拡大表示によりベースライン上の不純物(総含有量1%未満)が可視化される。
シングルチャンネルシステムに加えて利用可能なプロトコル:
- 1次元リンスペクトル(1H脱結合あり/なし)
- 1H-31P- HMBC
X = 11 ホウ素
ホウ素には天然に存在するNMR活性核が二つあり、11B(80.1%)と10B(19.9%)である。両核とも四重極核であり、スピンは1/2を超える。(11)Bのスピンは3/2、10Bのスピンは3である。 感度という点では、11Bの方が優れた核である。天然存在比が高く、磁気回転比が高く、四重極モーメントが低いためである。プロトン周波数60MHzのSpinsolve卓上NMR分光計は、周波数19.2MHzの11B NMR信号を測定するように設定できる。

ダウンロードリソース
- newsブログ記事 ホウ素NMR分光法
メタノール-d4に溶解したテトラフェニルホウ酸ナトリウム0.23 M溶液の11B NMRスペクトルを以下に示す。本スペクトルは、わずか8回の走査で16秒という短時間で取得されたものであり、Spinsolveシステムの優れた感度を示している。
X = 29 シリコン
ケイ素は自然界で最も広く分布する元素の一つであり、NMRを用いた研究において非常に興味深く有用な元素である。
ケイ素の同位体の中で、NMR活性を持つのは29Siのみである。天然存在比は4.7%で、磁気回転比は8.465 MHz/Tであるため、 29SiのNMR周波数はSpinsolve 60システムで約12.3 MHzとなり、13Cの感度(受容性)の約2倍強となる。さらに29Siはスピン1/2核であるため、四重極モーメントが存在せず線幅が鋭い。

ダウンロードリソース
- newsブログ記事 シリコンNMRパート1
- newsブログ記事 シリコンNMRパート2
図1は、逆ゲート脱結合を用いた1,1,3,3,5,5-ヘキサメチルトリシロキサンの29Si{1H}スペクトルを示している。
29Si の長い T1 時間による非常に長い繰り返し時間の必要性を克服するため、Spinsolve は 29Si –1H DEPT 実験も実行でき、これにより測定時間を大幅に短縮できます。 さらに、図 3 は、分子構造についてより深い洞察を得るために、2D 1H-29Si HMBC などのより高度な手法も適用できることを示しています。
ダウンロードリソース
製品についてのご質問はいつでも下記へご連絡くださいませ!
- 日本:
- +81 78 335-8613 または
- ドイツ:
- +49 241 9278 7270
- 米国:
- +1 855 667 6835
- ニュージーランド
- +64 4 477 7096
